• mobile
  • 中文简体

Product name, model and relevant parameters search:

Slewing Bearing/Ring
Slewing Bearing(Slewing Ring)
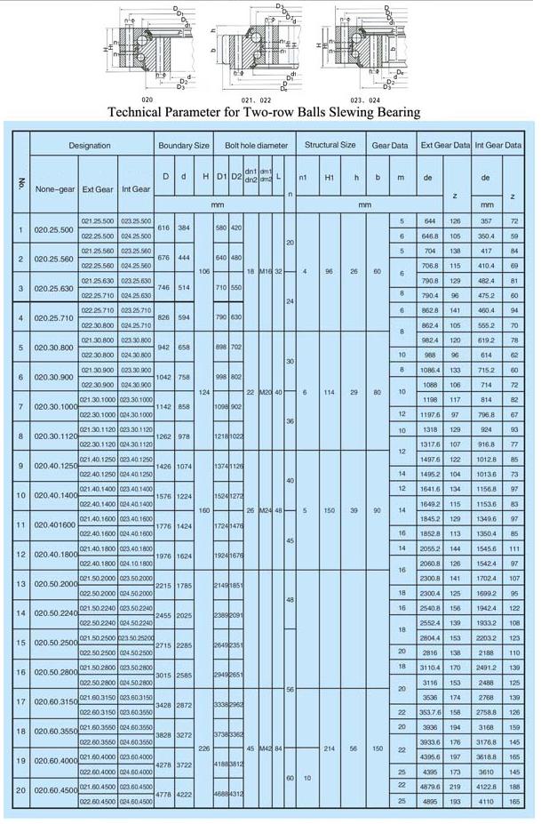
Slewing Bearing(Slewing Ring) is a new type of mechanical component,such as 224, 315, 500, and 900 etc.It consists of inner and outer rings ,and ball and roller elements. The slewing bearing is a large bearing that can withstand comprehensive loads. It can bear large axial and radial loads and overturning moments at the same time.






Other products